CSI 3717 -- Automne 2005


NOTE: Les annonces les plus récentes sont en haut de la page

13/01/06: Meilleur PROJET: Mohammed Mansour et Yohanesse Tadesse de la Section A.

02/01/06: Points et note finale inofficiels.
NOTE: Vous avez 1 semaine pour attirer mon attention sur un problème éventuel. SVP veuiller verifier TOUS vos points pour tous les travaux effectués durant le semestre et notifiez moi d'omissions éventuelles.

14/12/05/: Quiconque voudrait avoir les solutions aux devoirs 2 et 3 pourrait les copier à l'heure du bureau demain.

12/12/05/: Un ancien examen.

06/12/05/: DEMO DU PROJET et correction

04/12/05/: Je suis entrain de faire des arrangements pour la remise des projets. J'annoncerai quand ces remises auront lieu demain. Jessaierai d'éviter les 7 et 8 Dec.

30/11/05/: Nouvelle date de remise du Devoir 3: Mercredi 7 Dec à 5:00PM.

28/11/05/: Directive pour correction du Devoir 2 (pour votre information).

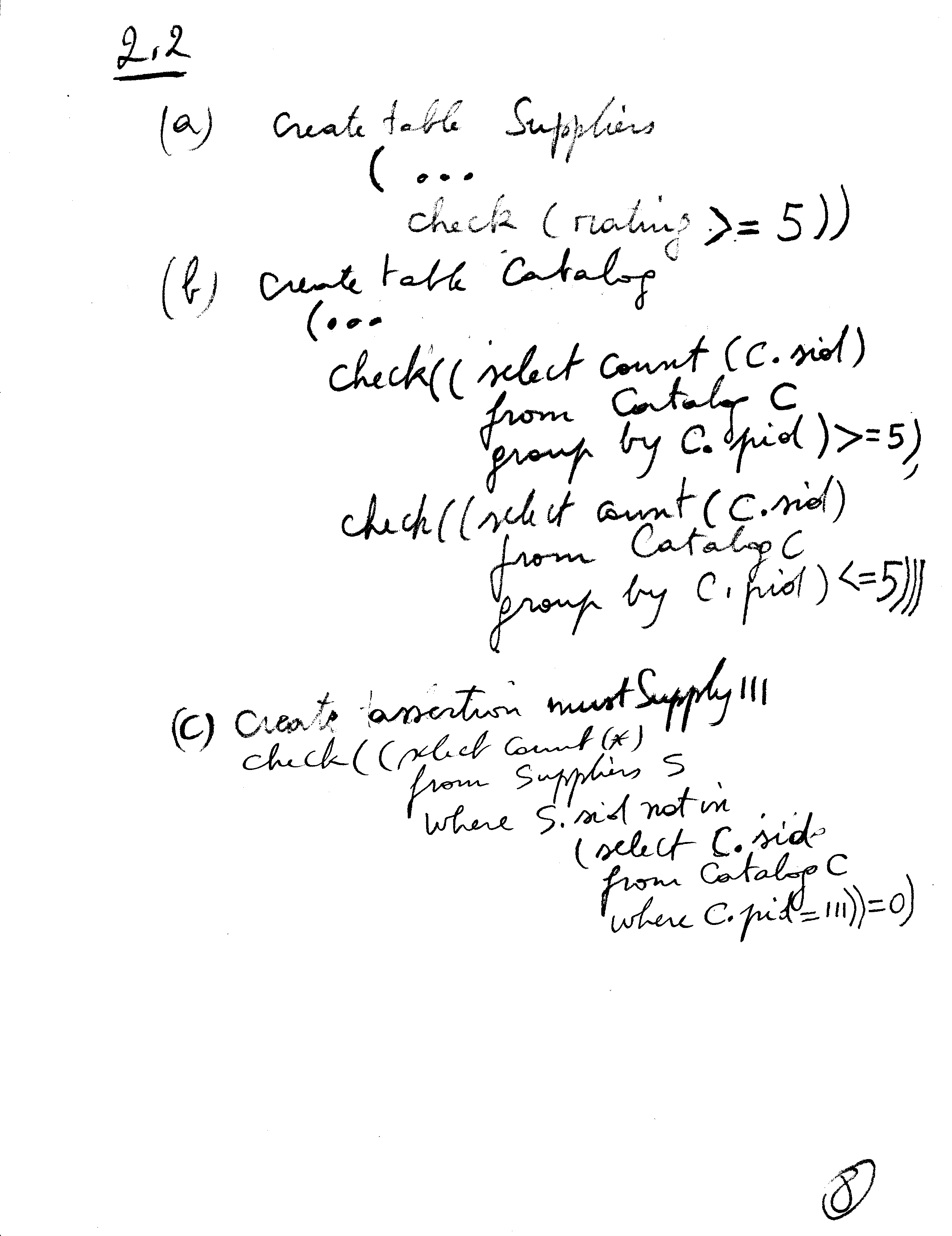
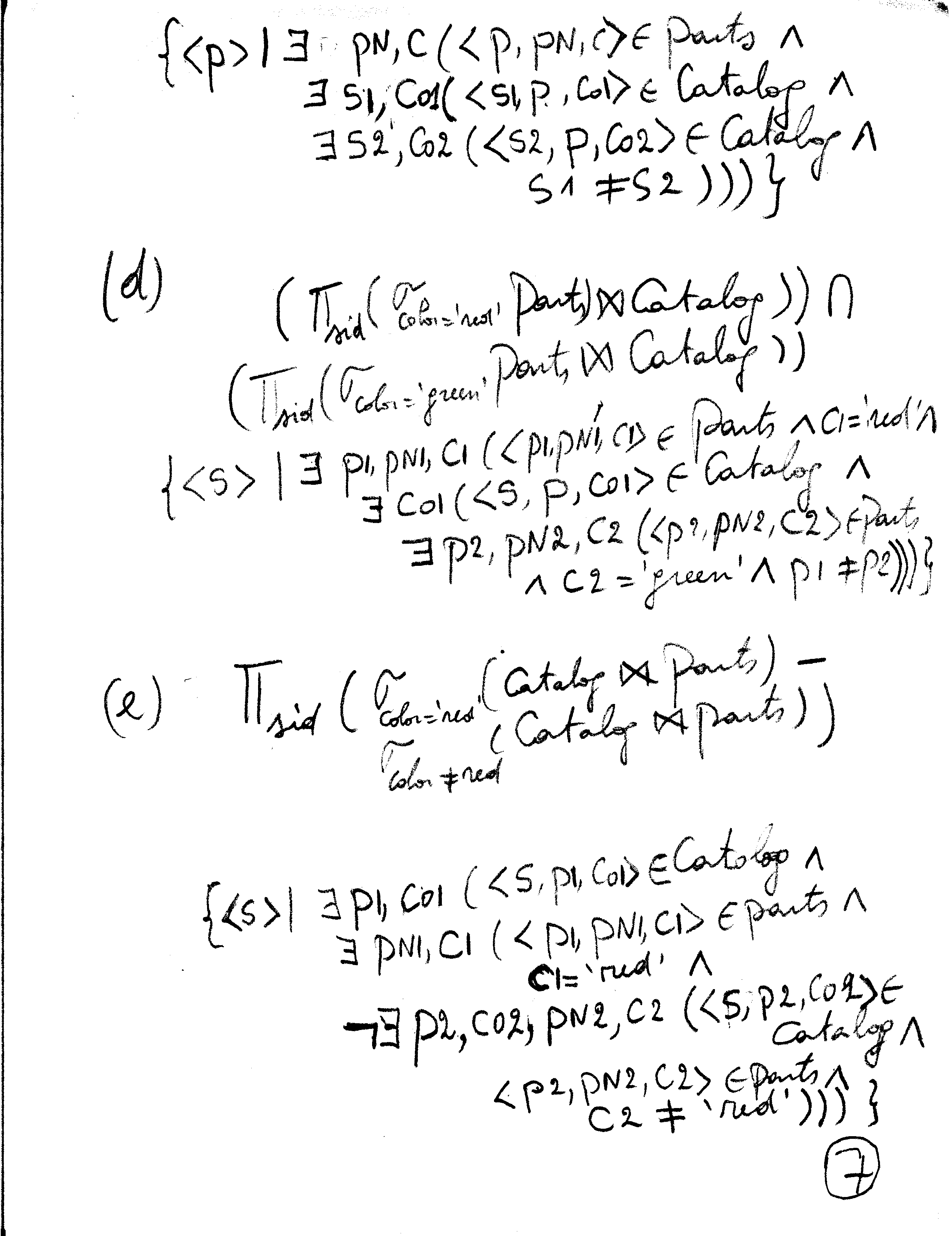
23/11/05: Devoir 3: Faite l'exercice 17.2 en groupe de deux (Considérez seulement les classes suivantes de plans: sérialisable, sérialisable par rapport aux conflits et recouvrable). Date de remise: dernier jour des classes à 17:00.

23/11/05: Ce jeudi (demain) on procèdera à quelques tâches administratives:
1) Vous ferez les évaluations du cours.
2) J'apporterai mon fichier de points afin de completer les points manquants. En effet, certains étudiants ont encore des points qui manquent à diverses rubriques. Je dois éclaircir cela avant de poster la nouvelle version du fichier des points.

17/11/05: Les points du Devoir 1, de l'examen de misession et de la première partie du projet.

17/11/05/: Directive pour correction de l'examen de misession (pour votre info). Une directive similaire sera utilisée pour l'examen final.

15/11/05: Nouvelle date de remise du Devoir 2: mardi 22 novembre, 6:00PM. Pour l'exercice 14.2, vous pouvez remplacer "linear hashed index" par "static hashed index".

09/11/05: Pour des question au sujet de la correction des devoirs et du projet, SVP envoyer un email a Latifa (lzeka054@uottawa.ca).

07/11/05: Solution pour les Parties 1 et 2 du projet.

1/11/05/: Devoir 2 (date de remise: 18/11/05): Faites les Exercises 8.4, 10.10(1), 12.4, 14.2. Faites les en groupes de 2.

30/10/05/: Solutions de l'examen de misession: p1, p2, p3, p4, p5. 26/10/05: Les points du Devoir 1 et de l'examen de misession.

26/10/05: Veuillez remettre votre script SQL script ce vendredi avant 6:00PM. Chaque jour de retard vous coutera 10% des points sur ce script. Aucune soumission électronique n'est requise pour ce script. Néanmoins, votre script (qui contient vos instructions CREATE TABLE) doit être exécutable!

20/10/05: Directive pour correction du Devoir 1.

19/10/05: Trigger du Devoir 1.

14/10/05/: Solutions pour le Devoir 1: p1, p2, p3, p4, p5, p6, p7, p8, p9, p10 (GIF).
Solutions pour le Devoir 1: p1, p2, p3, p4, p5, p6, p7, p8, p9, p10 (TIF).

18/10/04: Ci-bas vous trouverez des annonces importantes pour l'examen de mi-session:

Etudiez: Chap 1; Chap 2: Sections 2.1--2.5; Chap 3: Sections 3.1--3.5 et 3.7; Chap 4: Sections 4.1, 4.2 et 4.3.2 (le calcul relationnel des domaines est seulement pour les étudiants de CSI); Chap 5: Sections 5.1--5.5, 5.6.4, et 5.7.

Poids respectifs de chaque partie: Concepts: 10%; diagrammes ER: 30%; modèle relationnel: 20%; requêtes et contraintes SQL: 20%; algèbre relationnelle et calcul: 20%.

Je vais laisser des copies des solutions au devoir 1 devant ma porte demain matin (vendredi). Veuillez en faire des copies.

12/10/05:

10/10/05: Depuis le 23 septembre, les comptes ont été générés pour tous sur le serveur postgresql de SITE. La documentation en ligne est au lien suivant: PostgreSQL.

06/10/05: La nouvelle date de remise du Devoir 1 est Jeudi le 13 octobre à 6PM. Cette date est ferme.

01/10/05: PROJET (document pdf)

01/10/05: EXERCICES -- Pour votre préparation progressive aux examens, je recommande les exercices suivants (certains ont des réponses sur le site web du livre sur
http://highered.mcgraw-hill.com/sites/dl/free/0072465638/57158/ans3edoddonly.pdf,
dans la rubrique "Student Center", d'autres n'en ont pas et je mélange les deux sortes d'exercices):

27/09/05: Devoir 1 (Version française).

20/09/05: L'examen de mi-session aura lieu le samedi 15 Oct, dans la salle MNT 203, 1-3PM. (MNT = Monpetit)

13/09/05: Devoir 1 (Version française suivra).

05/09/05: