FOCUS ON MATH

Systems of Linear Equations

A system of linear equations is set of linear equations, each involving the same variables. These equations are solved by applying certain formulas to the system of linear equations. The aim is to eliminate one of the variables. Assume we have two linear equations

(8.3)

where

a1 and a2 = coefficients of the unknown x
b1 and b2 = coefficients of the unknown y
c1 and c2 = constants
x and y = coordinates of the solution to the equations

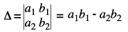
The solution of the equation may be carried out using determinants.

  • A determinant is an operator that combines a square array of numbers into a single number used in solving systems of linear equations.

  • A second-order determinant is a tool that may be used to solve a system of two linear equations. It operates on four numbers to produce a new number.

The numerical value of the determinant is given as:

(8.4)

 

(8.5)

 

               

Content and Pedagogy© 2004, University of Ottawa, Faculty of Engineering and Faculty of Education
Design and Production © 2004, University of Ottawa, Centre for e-Learning