Exercise

Apply KVL to find the values of ia and ib for the circuit shown in Figure 8.3.

Figure 8.3 Circuit

Type your solution in the box below:

Solution:

Apply KVL for both loops and solve for the currents ia and ib . We assume a clockwise direction for each current.


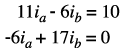
Rewriting the equation


Solve for ia and ib using determinants:






Both currents are in the assumed direction since they are positive.

               

Content and Pedagogy© 2004, University of Ottawa, Faculty of Engineering and Faculty of Education
Design and Production © 2004, University of Ottawa, Centre for e-Learning