- Test sequence T1 T2 T4 T6 T5 T7 T8 wrt TUT = T6 for the modified ATM System is used in this example.
- Derive the sub-graph of the SDGm graph based on the test sequence:
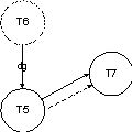
- Mark the data and control dependencies affecting the TUT by traversing backwards from the TUT through Affecting Ghost Data Dependencies to obtain the Affecting Interaction Pattern:
- Mark the data and control dependencies affected by the TUT by traversing forward from the TUT through Affected Ghost Data Dependencies to obtain the Affected Interaction Pattern:
- Mark the data and control dependencies affected by the TUT by traversing forward from the TUT through marked Ghost Activation Dependencies to obtain the Side-Effect Interaction Pattern: (no pattern in this case)
- The construction of RIPs is implemented in functions rsip1, rsip2, rsip3 of the SIP class in file sipr.cpp of the SIP module.
Details of the algorithm can be found in Xie's thesis.
Home